Hasnain Sajid1,2* and Matthew A Addicoat2
1Department of Mechanical and Aerospace Engineering, Carleton University, 1125 Colonel by Drive, Ottawa, ON, K1S 5B6, Canada
2School of Science and Technology, Nottingham Trent University, UK
*Corresponding author: Hasnain Sajid, Department of Mechanical and Aerospace Engineering, Carleton University, 1125 Colonel by Drive, Ottawa, ON, K1S 5B6, Canada and School of Science and Technology, Nottingham Trent University, UK
Submission: October 16, 2025;Published: February 05, 2026
Volume2 Issue5 February 05, 2026
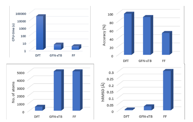
The computational performance of GFN-xTB, including CPU time for calculations, accuracy, number of atoms and heavy atom root mean square deviation for the structural determination of Metal-Organic Frameworks (MOFs), is compared with DFT and Force Field methods based on the existing literature. Herein, it is highlighted that the computational time of GFN-xTB is less than 102 seconds for a large MOF containing 5000 atoms in a unit cell and the resultant optimized structure is highly accurate with less than 0.05 Å deviation in structural optimization. Moreover, the photovoltaic properties from GFN-xTB are in satisfactory agreement with DFT and experimental results. The overall performance of GFN-xTB with respect to computational costs and accuracy is far better than DFT and Force Field methods, respectively.
Metal-Organic Frameworks (MOFs) are crystalline materials with ultrahigh porosity (up to 90 % free volume) [1] and large surface areas (in excess of 6000m2/g) [2] which makes them a suitable candidate for many applications in catalysis [3] gas sensing [4,5] separation and storage [6]. Since the last two decades, the number of synthesised MOFs has dramatically increased to ca. 70,000 in the Cambridge Structural Database (CSD) [7]. Computational modelling, nowadays, plays an increasingly important role in the pre-synthesis design of hypothetical MOFs with targeted properties, resulting in the rational suggestion of an ideal candidate(s) for attempted synthesis [8].
Density Functional Theory (DFT) Computational modelling, including structure optimisations, frequency calculations and optoelectronic properties of MOFs, is dominated by Density Functional Theory (DFT) calculations [9]. Thousands of research articles have been published to describe the structure-property relationship of both experimental and hypothetical MOFs using DFT calculations; a few examples are described in a review by Cheetham et al. [10] DFT methods including PBE [11] B3LYP [12] HSE06[13] and many more are highly accurate in computing the structures of MOFs with heavy atom root mean square deviation (hRMSD) less than 0.05 Å. However, these methods are computationally costly for large (containing more than 1000 atoms), periodic MOF systems [13]. For instance, the reported CPU time per optimisation cycle is more than 104 seconds for the Rh-MOF (480 atoms) on an Intel Xeon-E5-266.V4@2.00 GHz CPU [14].
Force Fields (FF) Many interesting periodic MOFs with 2000-5000 atoms in a unit cell are not viable for routine DFT optimisations, such investigations are performed by empirical Force-Field (FF) models [15]. Force fields variously parameterise bond lengths, angles, torsions and non-bonded interactions and are consequently up to five to ten orders of magnitude faster than DFT and therefore applicable for larger MOFs (>1000 atoms) [16]. The HRMSD of Universal Force Field (UFF) is greater than 2.00Å for the common MOF-5, as compared to only 0.04Å for the computationally efficient DFT method B97-3c [14]. Initially, this poor and unpredictable accuracy was a serious drawback of FF methods; however, several parameterizations of different Force Fields have variously overcome this limitation [17,18]. Unfortunately, the need for specific parametrizations restricts the applicability of force fields to MOFs where sufficient experimental data is available-most general force fields i.e., AMBER [19] CHARMM [20] UFF [21] MM1 and MM2 [22] are only suitable for specific combinations of (mostly organic) atoms, which limits their usefulness given the wide variety of metal nodes in MOFs. A further limitation on the use of FF methods is the limited range of properties available-while the structure and mechanical properties [23] are readily accessible, electronic properties are not.
Density Functional Tight Binding (DFTB) The high computational cost of DFT, inaccuracy and limited parameterization of FF limit their usage in MOF research. Thus, an intermediate approach, with accuracy and computational cost between DFT and FF, respectively, is highly desirable. This situation sparks renewed interest in semiempirical methods such as Density Functional Tight-Binding (DFTB), which combines the accuracy of Kohn-Sham DFT and the efficiency of minimal atomic orbital basis sets [24]. DFTB is parametrized with precomputed interactions of element pairs, thus it is ca. 2 orders of magnitude faster than conventional DFT [25]. However, similarly to force fields, the lack of availability of parameters, especially for transition metals, where parameters are required for both element pairs and the description of spinpolarisation [26] has limited their applicability to MOFs [27]. To overcome the problem of the non-generality of DFTB, extended tight-binding (xTB) methods have been developed.
GFN-xTB is a computationally robust extended DFTB method developed in 2017 [27] to yield desired geometric, noncovalent interactions with Grimme dispersion (D3) correction and vibrational frequency with ultra-high accuracy, where x stands for the extended atom-centred minimal basis set, augmented with s-function and a d-polarization function, which enable it to describe hydrogen and hyper-valent bonding, respectively. The parametrization of GFNxTB covers s/p/d-block elements up to atomic number 86, which makes it applicable to a wide range of metallic elements, including some lanthanide and actinide elements [28].
Recent Literature Grimme and co-workers attempted to explore the accuracy of GFN methods in mapping transition metal [14,29] and lanthanide [30] containing MOF structures by comparing the results with high DFT level (PBE0-D4/def2-TZVP) and FF methods. The GFNn-xTB methods not only performed well (with HRMSD less than 0.5 Å) for full geometry optimisation of medium (309 atoms) to large (2784 atoms) non-periodic MOF units but also 6-8 times faster (CPU time per optimisation cycle less than 102s) than highlevel DFT optimisations. The comparative performance of GFNxTB with DFT and FF in terms of computational or CPU-time (s), percentage accuracy, number of atoms and heavy atoms root mean square deviation is graphically represented in Figure 1. GFN-xTB has great potential to rationalize the structure-property relationships of porous materials, including MOFs, COFs, ZIFs and PPNs. The xTB program, as implemented by the Grimme group [https://github. com/grimme-lab/xtb/], has recently been extended to include periodic optimisation. Direct calculation of periodic systems is also available via the GFN1-xTB method implemented in Amsterdam Density Functional (AMS) software developed by Software for Chemistry and Materials (SCM) [31] and the implementation in DFTB+ [32]. Recently, the efficiency of the GFN2-xTB method in alkali-metal-based batteries has been reported by Eilmes et al. [33] and claimed that GFN-xTB is a suitable alternative for studying sustainable energy applications.
Figure 1:GFN-xTB performance for geometry optimization of MOFs compared with DFT and FF methods based on Ref [14,28,29] where the CPU-time and percentage accuracy are compared between the TPSSh/TZ DFT, GFN1-xTB and UFF given in ref [28] while hRMSD values are the average of results presented by Grimme et al. in ref [14].

The article focuses on the computational performance of GFNxTB methods for the structural determination and investigation of sustainable energy applications of MOFs. The efficiency of the GFN-xTB approach enables calculation of large MOF structures containing many thousands of atoms with higher accuracy (90%), which is not practicable by DFT and FF methods due to lower accuracy and high computational cost, respectively.
Hasnain Sajid: Writing-original draft. Matthew Addicoat: Supervision, review and editing.
There are no conflicts to declare.
Data sharing is not applicable as no new data were generated or analysed during this study.
© 2026 Hasnain Sajid. This is an open access article distributed under the terms of the Creative Commons Attribution License , which permits unrestricted use, distribution, and build upon your work non-commercially.
a Creative Commons Attribution 4.0 International License. Based on a work at www.crimsonpublishers.com.
Best viewed in