Sunday Babuba*
Department of Mathematics, Federal University Dutse, Nigeria
*Corresponding author:Sunday Babuba, Department of Mathematics, Federal University Dutse, Jigawa, Nigeria.
Submission: April 4, 2018;Published: July 09, 2018
ISSN: 2577-1949 Volume2 Issue1
In this study, we developed a new finite difference approximate method for solving heat equations. We study the numerical accuracy of the method. Detailed numerical results have shown that the method provides better results than the known explicit finite difference method. There is no semidiscretization involved and no reduction of PDE to a system of ODEs in the new approach, but rather a system of algebraic equations directly results.
Keywords: Lines; Multistep collocation; Parabolic; Taylor’s polynomial
In this study, we will deal with a single parabolic partial differential
equation in one space variable, where and are the time and
space coordinates respectively, and the quantities and are the mesh
sizes in the space and time directions. we consider,
,
0 ≤ x ≤ b, 0 ≤ t ≤ T ………. (1)
Subject to the initial and boundary conditions
We are interested in the development of numerical techniques for solving heat equations. Of recent, there is a growing interest concerning continuous numerical methods of solution for ODEs [1- 3]. We are interested in the extension of a continuous method to solve the heat equation. This is done based on the collocation and interpolation of the PDE directly over multi steps along lines but without reduction to a system of ODEs. We intend to avoid the cost of solving a large system of coupled ODEs often arising from the reduction method by semi-discretization. The method also, eliminates the usual draw-back of stiffness arising in the conventional reduction method by semi-discretization [4,5].
We subdivide the interval 0 ≤ x ≤ b into N equal subintervals by the grid points xm = mh, m =0,..., N where Nh = b .On these meshes we seek l − step approximate solution to U(x,t) of the form
such that
The basis function
Qr(x,t),r= 0,..., p − 2 are assumed known, ar are constants to
be determinedand p ≤ l + s , where s is the number of collocation
points. The equality holds if the number of interpolation points
used is equal to l . There will be flexibility in the choice of the basis
function Qr(x t), as may be desired for specific application. For
this work, we consider the Taylor’s polynomial
. The interpolation
values
are assumed to have been determined
from previous steps, while the method seeks to obtain
,
[1,2,6,7]. We apply the above interpolation conditions on eqn. (2)
to obtain
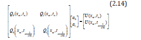
We can write eqn. (2.1) as a simple matrix equation in the augmented form as,
Using three interpolation points and one collocation point, implies that s =1, p = 4, l = 3 and r = 0,1,2.
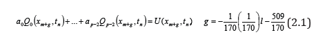
Substituting for p in eqn. (2.1) we have,
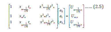
Putting the values of g in eqn. (2.3) and writing it as matrix in
augmented form
we have,
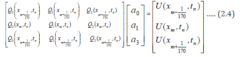
From eqn. (2.4) we obtain the following values
Putting the above values in eqn. (2.4) becomes
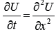
When we solve eqn. (2.5) to obtain the value of a2 to be
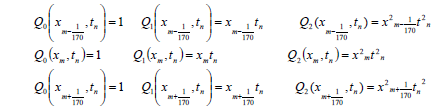
We substitute r = 0,1,2 in eqn. (2.0) to obtain
By substitution of Q0 Q1 and Q2 in eqn. (2.6) we obtain
Substituting the value of a2 in eqn. (2.7) we obtain
Taken the first and second derivatives of eqn. (2.8) with respect to we have
we collocate eqn. (2.9) at t = tn to arrive at
Similarly, we reverse the roles of x and t in eqn. (2.0), and we
also subdivide the interval 0 ≤ t ≤ T into y equal subintervals by the
grid points
where yk = T. On these meshes we seek
l − step approximate solution to U(x,t) of the form
Such that
, the basis function
are assumed known, ar are constants to be determined and p ≤ l + s
, where s is the number of collocation points. The equality holds
if the number of interpolation points used is equal to l . There
will be flexibility in the choice of the basis function Qr(x t), as may
be desired for specific application. For this method, we consider
the Taylor’s polynomial
.The interpolation values
are assumed to have been determined from previous
steps, while the method seeks to obtain
[see (4)]. We
apply the above interpolation conditions on eqn. (2.11) to obtain
We can write (2.12) as a simple matrix equation in the augmented form
Using two interpolation points and one collocation point in eqn.
(2.13) implies that p = 3, r = 0,1 l = 2 and
, and by substitution eqn.
(2.13) becomes
From eqn. (2.14) we obtain the following values:
Substituting the values of eqn. (2.15) into eqn. (2.14), we have this matrix below
Solving eqn. (2.16) for value of a1 we obtain
When we substitute r = 0,1, into eqn. (2.11), we obtain
By substituting the values of
in equation (2.17) we
have
Taken the first derivatives of equation (2.18) with respect to t we obtain
We collocate eqn. (2.19) at x = xm yields
But from eqn. (1.0) we find that eqn. (2.20) is equal to eqn. (2.10), which implies that
manipulating mathematically and putting
, we obtain
Eqn. (2.21) is a new scheme for solving the heat equation.
To illustrate this method, we use it to solve problems (3.1) and (3.2) respectively.
1.1. Advantages of the method
A. We intend to avoid the cost of solving a large system of
coupled ODEs often arising from the reduction methods.
B. We also intend to eliminate the usual draw-back of stiffness
arising in the conventional reduction method by semi-discretization.
Example
Use the scheme to approximate the solution to the heat equation (Table 1)
Table 1:Result of action of Eqn. (2.21) on problem 3.1.

Example
Table 2:Result of action of Eqn. (2.21) on problem 3.2.

Use the scheme to approximate the solution to the heat equation (Table 2)
A continuous inter-polant is proposed for solving parabolic partial differential equation in one space variable without discretization. To check the numerical method, it is applied to solve two different test problems with known exact solutions. The numerical results confirm the validity of the new numerical scheme and suggested that it is an interesting and viable numerical method which does not involve the reduction of PDE to a system of PDE to a system of ODEs.
© 2018 Sunday Babuba. This is an open access article distributed under the terms of the Creative Commons Attribution License , which permits unrestricted use, distribution, and build upon your work non-commercially.
a Creative Commons Attribution 4.0 International License. Based on a work at www.crimsonpublishers.com.
Best viewed in