Jaya PN Bishwal*
Department of Mathematics and Statistics, University of North Carolina at Charlotte, USA
*Corresponding author: Jaya PN Bishwal, Department of Mathematics and Statistics, University of North Carolina at Charlotte, 376 Fretwell Building, 9201 University City Blvd, Charlotte, NC 28223, USA.
Submission: January 27, 2018;Published: May 10, 2018
ISSN: 2578-0247
Volume1 Issue5
Stochastic Gompertz diffusion model describes the in vivo tumor growth. The drift parameter describes the intrinsic growth rate (mitosis rate) of the tumor. The paper introduces some new approximate minimum contrast estimators of the tumor growth acceleration parameter in the Gompertz diffusion model based on discretely sampled data which are robust and studies their asymptotic distributional properties with precise rates of convergence.
Keywords: Itȏ stochastic differential equation; Gompertz diffusion process; Black-Karasinski model; Discrete observations; Approximate minimum contrast estimators; Robustness; efficiency; Berry-Esseen bound
The Gompertz diffusion process has been used in tumor growth modeling, Ferrante et al. [1]. Lo [2] considered a Gompertz diffusion model in which the size of the tumor cells is bounded and used Lie-algebraic method to derive the exact analytical solution of the functional Fokker-Planck equation obeyed by the density function of the size of the tumor. Giorno et al. [3] proposed a nonhomogeneous time dependent Gompertz diffusion process with jumps to describe the evolution of a solid tumor subject to an intermittent therapeutic program. Moummou et al. [4] obtained explicit expressions for the maximum likelihood estimators with discrete sampling from the Gompertz diffusion model by using functional optimization orthogonal projections. However, the statistical properties of the model were not studied.
Ferrante et al. [1] studied maximum likelihood estimation of natural growth parameters of tumor for such models. However, they did not study distributional properties of the estimators. The knowledge of the distribution of the estimator may be applied to evaluate the distribution of other important growing parameters used to access tumor treatment modalities. We study distributional properties of approximate minimum contrast estimators of the unknown parameters in the model from discrete data with precise rates of convergence which are robust and efficient.
Let
,P be a stochastic basis on which is defined
the Gompertz diffusion process
satisfying the Itȏ stochastic
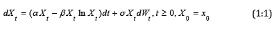
dierential equation
Where
is a standard Brownian motion with the
filtration
and α>0; β>0; σ>0 are the unknown parameters to
be estimated on the basis of discrete observations of the process
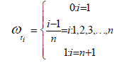
{Xt} at times 0=t0< t1 < ....tn=T with ti-ti-1= T
n , i = 1,2....,n. We assume equi-spaced sampling for simplicity. We assume two types of high
frequency data:
Here Xt is the tumor volume which is measured at discrete
time, α is the intrinsic growth rate of the tumor, β is the tumor
growth acceleration factor, and σ is the diffusion coefficient. Other
parameters are the plateau of the model
tumor growth decay, and the first time the growth curve of the model
reaches X∞ . We assume that the growth deceleration factor β
does not change, while the variability of environmental conditions
induces fluctuations in the intrinsic growth rate (mitosis rate) α.
In finance literature, this model is known as Black-Karasinski
model which is a geometric mean reverting Vasicek model used for
modeling term structure of interest rates which preserves positivity
of the interest rates.
Let the continuous realization be {Xt,0≤t≤T} denoted by
. Denote Ѳ:=(α,β,σ). Let
be the measure generated
on the space (CT,BT) of continuous functions on [0,T] with the associated
Borel σ algebra BT generated under the supremum norm by the
process
and let
be the standard Wiener measure. It is
well known that when Ѳ is the true value of the parameter
is
absolutely continuous with respect to
and the Radon-Nikodym
derivative (likelihood) of
with respect to
based on the data
is given by
Consider the log-likelihood function, which is given by
A solution of the estimating equation
provides the
conditional maximum likelihood estimators (MLEs)
As an alternative to maximum likelihood method and to obtain
robust estimators with higher efficiency we use contrast functions.
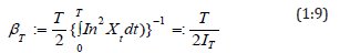
Suppose α and σ are known, for simplicity let
, σ=1, 1; x0=1
and our aim is to estimate the tumor growth acceleration parameter
β. Using Itȏ formula, the score function can be written as
Using a contrast function which is related to the negative derivative of the log-likelihood function, we consider the estimating function,
Then the minimum contrast estimate (MCE) of β which is the solution of is given by
Where
Hence
. Sometimes we
will denote this by just MT. We find several discrete approximations
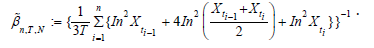
of the MCE. Define a weighted approximation of IT:
Where wti≥0 is a weight function. Denote the forward and backward approximations of IT:
General weighted AMCE is defined as
With wti =1 in (1.10), we obtain the forward AMCE as
With = 0 in (1.10), we obtain the backward AMCE as
With w_(t_i )=0.5 in (1.10), the simple symmetric AMCE is defined as
Define the weighted symmetric estimators: With the weight function
the weighted symmetric AMCE is defined as
Note that estimator (1.16) is
analogous to the trapezoidal rule in numerical analysis. One
can instead use the midpoint rule to define another estimator
. One can further use the Simpson’s
rule to define another estimator where the denominator is a
convex combination of the trapezoidal and midpoint estimators,
The AMCE has several good properties. The AMCE is simpler to calculate, in the sense that it does not involve simulation of a stochastic integral unlike AMLE. Hence AMCE is a more practical estimator. This is robust since M-estimator is reduced to the AMCE. The AMCE is efficient, Tanaka [5]. Tanaka [5] calculated the asymptotic relative efficiency of the minimum contrast estimator with respect to least squares estimator (LSE) and showed that MCE is asymptotically efficient while LSE is inefficient. We study the distributional properties of the AMCE. We obtain the rate of weak convergence to normal distribution of the AMCE using different normings. We also obtain stochastic bound on the difference of the AMCE and its continuous counterpart MCE when T is fixed. We need the following lemmas from Bishwal [6] to prove our main results.
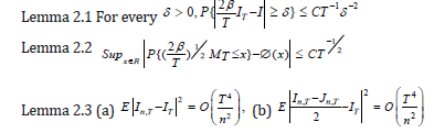
Lemma 1.1 Let X, Y and Z be any three random variables on a probability space (Ω,F,P) with P(Z>0)=1. Then, for any Є>0, we have
Lemma 1.2 Let Qn, Rn, Q and R be random variables on the
same probability space (Ω,F,P) with P(Rn>0)=1 and P(Rn>0)=1.
Suppose
where
Let Ø(.) denote the standard normal distribution function. Throughout the paper C denotes a generic constant (perhaps depending on β, but not on anything else). Since ln Xt is an Ornstein- Uhlenbeck process, we can use the following lemmas from Bishwal [6] in the sequel.
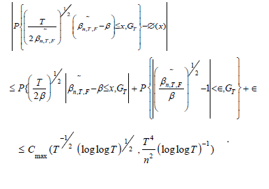
The following theorem gives the bound on the error of approximation of the distributions of the AMCE to normal distribution. Note that part (a) uses parameter dependent nonrandom norming. While this is useful for testing hypotheses about β, it may not necessarily give a confidence interval. The normings in parts (b) and (c) are sample dependent which can be used for obtaining a confidence interval. Following theorem shows that asymptotic normality of the AMCE needs the design condition
Theorem 2.1
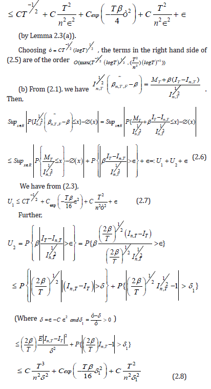
Thus, we have I Hence
(the bound for the 3rd term in the right hand side of (2.4) is obtained from (2.3))
Here, the bound for the first term in the right hand side of (2.7)
comes from Lemma 2.2(c) and that for the second term is obtained
from (2.3) [2]. Now, using the bounds (2.7) and (2.8) in (2.6) with
, we obtain that the terms in (2.6) are of the order
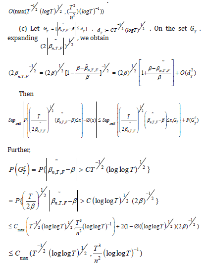
On the set
. Hence, upon choosing
large, using Lemma 1.1(b)) and Theorem 2.1(a)),
we obtain
In the following theorem, we improve the bound on the error of
normal approximation using a mixture of random and non-random
normings. Thus asymptotic normality of the AMCEs need T → ∞
and
which are sharper than the bound in Theorem 2.1.
Theorem 2.2
The following theorem gives stochastic bound on the error of approximation of the continuous MCE by AMCEs.
Theorem 2.3
© 2018 Jaya PN Bishwal. This is an open access article distributed under the terms of the Creative Commons Attribution License , which permits unrestricted use, distribution, and build upon your work non-commercially.
a Creative Commons Attribution 4.0 International License. Based on a work at www.crimsonpublishers.com.
Best viewed in