Syed Khaliq Shah*
School of Transportation, Southeast University Nanjing, China
*Corresponding author:Syed Khaliq Shah, School of Transportation, Southeast University Nanjing, China
Submission: January 13, 2026;Published: February 19, 2026
ISSN: 2639-0574 Volume7 Issue 1
This study evaluates the viscoelastic behavior of asphalt binders modified with novel high-elastic modifiers (NHEMs) using a combined experimental and machine learning (ML) approach. Dynamic shear rheometer (DSR) frequency temperature sweeps and multiple stress creep recovery (MSCR) tests provided data for training XGBoost models with temperature, frequency, and modifier type as inputs. The models accurately predicted complex modulus (G*) and phase angle (δ), with temperature and frequency as the main predictors. This framework shows that ML can complement rheological testing, reduce experimental workload and enhance the evaluation of binder modifiers.
Keywords:Rheology; Viscoelastic behavior; XGBoost; Asphalt binder; Novel high-elastic modifiers
Rheological characterization is essential for evaluating asphalt binders, particularly those modified with novel high-elastic modifiers (NHEMs), which enhance elasticity and resistance to deformation, improving pavement durability under repeated loading [1]. Their effectiveness is usually evaluated using a dynamic shear rheometer (DSR) frequency sweep, which quantifies viscoelastic properties through the complex shear modulus (G*) and phase angle (δ) [2]. Despite the importance of these tests, traditional methods can be time-consuming and resource intensive. Machine learning (ML) offers a promising solution by developing predictive models that can estimate these rheological properties from experimental data, reducing the need for extensive lab testing. XGBoost has proven effective in modeling complex relationships in material properties, yet few studies have combined DSR and MSCR data with ML models for NHEM-modified asphalt binders [3]. This study proposes a hybrid approach, integrating experimental rheological testing (DSR and MSCR) with XGBoostbased machine learning models to predict G* and δ for NHEM-modified asphalt binders. By leveraging the predictive power of ML, this research aims to provide a more efficient, costeffective framework for evaluating binder performance, offering an alternative to traditional experimental methods that can streamline the testing process and enhance binder design [4].
The base asphalt binder was obtained from Sinopec Qilu Petrochemical Company, a material widely employed in road construction across China [5]. Three novel high-elastic modifiers (NHEMs) as shown in Figure (1a, 1b) were incorporated: JC-HEM (grafted thermoplastic elastomer, Figure 1a, 1b), GL-HEM (SBS with epoxy resin), and JT-HEM (SBS/ EVA composite). Rheological properties were measured using dynamic shear rheometer (DSR) through frequency-temperature sweeps and multiple stress creep recovery (MSCR) tests. Complex shear modulus (G*) and phase angle (δ) were determined and data were used to train XGBoost models. Hyperparameters for the models (learning rate, maximum depth) were optimized using five-fold cross-validation. Performance was evaluated by R2, RMSE and MAE metrics.
Fgure 1:(a) NHEMs (b) Molecular Dynamic Simulation of NHEMs (c) MSCR results (d) Master Curves of complex modulus and phase angle.

MSCR analysis
The MSCR results of the base asphalt (BA) and NHEMs under 0.1 and 3.2kPa are shown in Figure 1c. NHEMs significantly reduced non-recoverable creep compliance (Jnr) compared with BA, with SBS-JC and SBS-JT showing the best rutting resistance. Jnr increased slightly with higher stress, confirming stress sensitivity. Recovery (R%) improved with modification, with SBS-JT achieving the highest value (>60% at 0.1kPa), indicating strong elastic response.
DSR analysis
As shown in Figure 1d, the complex modulus (G*) increased with frequency, while the incorporation of NHEMs reduced G* at low medium frequencies, indicating enhanced elasticity and stress dissipation. At high frequencies, all binders converged to similar stiffness. The phase angle (δ) exhibited peak behavior, with NHEMs showing broader peaks and higher δ values (especially SBS-GL), reflecting improved energy dissipation and a more balanced viscoelastic response beneficial for cracking and fatigue resistance.
Analysis of models
Four algorithms (Lasso, Decision Tree, Random Forest, and XGBoost) were evaluated. Model performance was assessed with R², RMSE, and MAE, summarized in Table 1. XGBoost achieved the highest accuracy across all metrics therefore, subsequent analyses focused on this model.
Table 1:Predictive performance metrics for individual models.

The predictive capability of the XGBoost regression model for complex modulus (G*) and phase angle (δ) is shown in Figure 2. For G* is shown in Figure 2a, the predicted values show excellent agreement with the experimental measurements, with data points for both training and test sets closely aligned along the 1:1 reference line. The strong clustering indicates that the model effectively captures the nonlinear relationships between input parameters (temperature, frequency and NHEMs) and the rheological response. The minimal scatter observed confirms the robustness and generalisability of the model. For Phase angle (δ) is shown in Figure 2b, the model showed strong agreement between predicted and experimental values, with most data points following the 1:1 line. However, discrepancies were observed in the higher δ range (>70°), where viscous effects dominate. This suggests that adding more input variables or expanding the dataset could improve the model’s accuracy in this range.
Fgure 2:Predicted vs measured value (a) Complex modulus, (b) Phase angle.

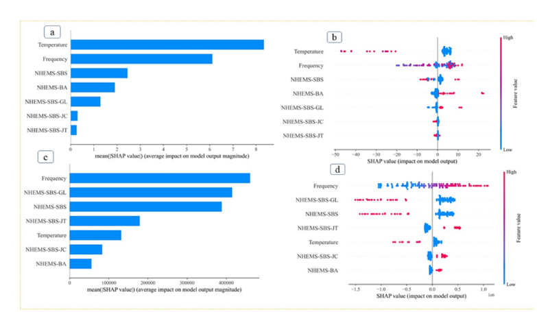
SHAP analysis
Figure 3a shows that temperature and frequency are the most influential factors in predicting rheological properties, with temperature being the primary predictor. Modifier-related variables have a secondary effect, with SBS-JC and SBS-JT contributing minimally. Figure 3b highlights the strong impact of high temperature and frequency on predictions, indicating thermal sensitivity and stiffening under rapid loading. In contrast, Figure 3c shows that for some properties, frequency becomes the dominant factor, suggesting material composition plays a more significant role than temperature. Figure 3d confirms that higher frequency and SBS-based modifiers improve predictions, emphasizing their role in viscoelastic balance.
Fgure 3:Results of SHAP analysis.

This study presents a hybrid approach combining experimental rheological testing and machine learning to evaluate asphalt binders modified with NHEMs. The XGBoost model demonstrated excellent predictive accuracy for G* and δ, offering a cost-effective alternative to traditional experimental testing. Temperature and frequency were found to be the primary factors affecting rheological properties. This framework reduces experimental workload and offers a scalable tool for efficient material evaluation in pavement engineering.
S.K.S.: conceptualization, methodology, validation, investigation, data curation, writing—original draft preparation, visualization. Resources, writing—review and editing, supervision, project administration. Validation, formal analysis, writing—review and editing, software, formal analysis.
The authors gratefully acknowledge the support provided by King Saud University, Riyadh, Kingdom of Saudi Arabia Supporting Project No. ORF-2025-424 and National Natural Science Foundation of China under Grant No. 51878168, and their support is sincerely appreciated.
© 2026 Syed Khaliq Shah. This is an open access article distributed under the terms of the Creative Commons Attribution License , which permits unrestricted use, distribution, and build upon your work non-commercially.
a Creative Commons Attribution 4.0 International License. Based on a work at www.crimsonpublishers.com.
Best viewed in