Eiko Takano1*, Tetsuta Takahashi2, Shota Ohtani2, Kota Nishiyori2, Hiroya Kato2, Izumi Kondo1 and Yutaka Ishibashi3
1Assistive Robotics Center, National Center for Geriatrics and Gerontology, Japan
2Ishibashi Laboratory, Graduate School of Engineering, Nagoya Institute of Technology, Japan
3Faculty of Business Administration, Aichi Sangyo University, Japan
*Corresponding author:Eiko Takano, PhD Assistive Robotics Center, National Center for Geriatrics and Gerontology, Japan
Submission: June 24, 2024; Published: July 08, 2024
ISSN 2578-0093Volume9 Issue1
Introduction: Frailty is a decline in physical, psychological and social functioning primarily seen in older adults and manual dexterity is crucial for maintaining independence and quality of life in this population. This study aimed to explore the relationships between variables from a virtual calligraphy system using a haptic device and upper limb function.
Methods: The study participants were right-handed community-dwelling residents aged ≥40 years. The exclusion criteria were severe visual or hearing impairments, significant neurological or musculoskeletal disorders, recent upper limb surgery, cognitive impairments and acute upper limb pain. The virtual calligraphy system measured five parameters: Pressure Discrepancy (PD), Centerline Deviation (CD), Coverage Ratio (CR), Over-Rate (OR) and Writing Time (WT). Upper limb function and hand dexterity were assessed using the Simple Test for Evaluating Hand Function (STEF) and Hand Grip Strength (HGS). Data were analyzed using Pearson correlation coefficients.
Results: A total of 39 participants (mean age: 64.2±12.4 years) were included. CD showed a significant negative correlation with the total STEF score for both the right hand (r=-0.440, p<0.01) and the left hand (r=-0.336, p<0.05). CR showed a positive correlation with the total STEF score for the left hand (r=0.392, p<0.05). OR showed a significant negative correlation with the total STEF score for the left hand (r=-0.478, p<0.01). No significant correlations were found between WT and the STEF scores or HGS.
Conclusion: The findings highlight significant relationships between variables obtained from the virtual calligraphy system and upper limb function. This suggests the potential of virtual calligraphy systems using a haptic device as tools for assessing and improving manual dexterity in older individuals, with implications for managing frailty and enhancing brain connectivity.
Keywords:Frailty; Virtual calligraphy; Haptic device; Upper lime function; Simple Test for Evaluating Hand Function (STEF); Hand Grip Strength (HGS); Older individuals; Precision control; Motor skills
Abbreviations:QOL: Quality of Life; ADL: Activities of Daily Living; SMA: Supplementary Motor Areas; STEF: Simple Test for Evaluating Hand Function; HGS: Hand Grip Strength; PD: Average Pressure Discrepancy Rate; CD: Average Centerline Deviation; CR: Coverage Ratio; OR: Over-Rate; WR: Writing Time
Frailty refers to a state of decline in physical, psychological and social functioning associated with aging. This condition is primarily seen in older individuals and is characterized by reductions in muscle mass and strength, decreased endurance, low activity levels, fatigue and weight loss [1]. Frailty represents more than simply aging it implies a deterioration in the individual’s health status, an increased risk of diseases, a potential loss of independence and a decline in Quality of Life (QOL) [2-5]. Managing frailty requires suitable interventions, including regular physical activity, strengthening social support networks, adequate nutrition and necessary medical care [6]. In particular, multicomponent exercise programs, that include various exercises and adherence strategies have been effective in managing frailty [7,8]. However, the assessment models for frailty and the manual dexterity of older individuals with frailty have not been thoroughly investigated.
Manual dexterity is crucial in maintaining independence and QOL among older individuals. Fine motor skills involving the fingers are integral for executing daily tasks such as tying shoelaces, fastening buttons, writing notes, delicately maneuvering utensils while dining and meticulously handling small objects with precision [9,10]. Handwriting plays a particularly pivotal role in various aspects of life, from communication and education to professional endeavors [11-13]. However, manual dexterity deteriorates with aging. Recent studies have reported agerelated negative impacts on maximal grip force [14], sensory functioning [15,16] and the grasping and manipulation of objects [17-20]. Specifically, accuracy in force control tasks decreases with age [21,22] and the independence of finger movements may deteriorate [23]. Increased variability of finger movements [24] and motor slowing [25] have also been documented. These agerelated declines in manual dexterity are associated with greater dependence on the performance of Activities of Daily Living (ADL) [26] and significantly affect older individuals’ ability to perform ADL independently.
One effective way to develop and maintain manual dexterity is through the practice of Japanese and Chinese calligraphy. This art of beautiful handwriting with a brush involves the perception, spatial structuring and cognitive planning of characters, along with the precise maneuvering of the brush to follow specific configurations [27]. This practice requires meticulous attention to the shape, balance and thickness of lines, necessitating precise motor control and thorough use of the brush [28,29]. Furthermore, engaging in activities that enhance manual dexterity, such as calligraphy, can positively impact brain function and connectivity. Manual dexterity and motor speed are correlated with the activity of the Supplementary Motor Area (SMA) [30]. The SMA is implicated in response selection and inhibition, perceptual and motor timing, stimulus duration coding and error monitoring, mediating both stimulus-specified and spontaneous aspects of voluntary action and is engaged through action control to develop our sense of time [31]. It is functionally connected to primary motor areas, the paraand postcentral cortices, the insula, temporal areas and the dorsal anterior cingulate cortex. Frailty is associated with functional connectivity changes in the SMA, with the highest functional connectivity observed in robust and the lowest in frail individuals [30]. Therefore, calligraphy not only provides a means of improving handwriting proficiency by emphasizing the importance of dexterity and fine motor skills, but also may offer opportunities to enhance independence and QOL for older people by supporting the reinforcement of neural pathways and mitigating some effects of frailty.
We have developed a virtual calligraphy system using a haptic device as one innovative approach. Unlike traditional calligraphy, the virtual calligraphy system offers precise feedback and measurable data on the user’s writing performance, enabling a more detailed assessment and targeted improvement of manual dexterity. Utilizing advanced haptic devices and virtual environments, the virtual calligraphy system enables users to engage in the precise control and cognitive engagement required for traditional calligraphy in a virtual setting. This method may promote cognitive function and neural connectivity and aid in preserving and enhancing fine motor skills. Furthermore, the virtual calligraphy system may be easily adapted to individual needs and progress, offering a personalized therapeutic intervention for frailty. This novel approach might support older individuals in maintaining their independence and QOL.
Given this context, our research question was: How do the variables obtained from a virtual calligraphy system using a haptic device correlate with upper limb function and hand dexterity? Thus, the present study aimed to investigate the relationships between specific parameters measured by the virtual calligraphy system and upper limb function and hand dexterity measured by the Simple Test for Evaluating Hand Function (STEF: Sakai Medical Corp, Tokyo, Japan) and Hand Grip Strength (HGS). By exploring these relationships, we sought to determine the potential of this virtual calligraphy system as a tool for assessing and improving manual dexterity, particularly in the context of managing frailty in older adults.
This exploratory study was approved by the National Center for Geriatrics and Gerontology Medical Ethics Committee (approval no. 1765) and conducted following the provisions of the Declaration of Helsinki (as revised in Brazil, 2013). All participants received a committee-approved explanatory document detailing the study and provided written informed consent before the study began.
Participants
The study participants were right-handed, communitydwelling residents aged ≥40 years who observed and experienced a demonstration of the virtual calligraphy system with the haptic device. Several recent studies examining the prevalence of frailty in middle-aged cohorts (age range: 35-64 years) have reported prevalence ranges from 2.0% to 11.0% [32-35]. A survey conducted by Osaka Prefecture in Japan revealed that many people in their 40s and 50s also exhibit frailty. Furthermore, Osaka and Miyagi Prefectures have designated individuals aged ≥40 years as targets for frailty prevention and are conducting frailty screening. Therefore, the target population for this study comprised residents aged ≥40 years. The exclusion criteria were as follows: individuals with severe visual or hearing impairments, those with significant neurological or musculoskeletal disorders affecting the upper limbs, those who had undergone upper limb surgery within the past 6 months, those with cognitive impairments preventing comprehension of instructions and those currently experiencing acute pain in the upper limbs.
Instruments
As shown in (Figure 1), the system consists of a haptic device (Touch-Haptic Device, 3D Systems Inc., Rock Hill, SC, USA), a laptop PC and an extended display. The extended display is placed on a height-adjustable display stand. A user can write letters on a virtual Japanese writing paper by manipulating the stylus of the haptic device and moving the virtual brush on the display screen. When the virtual brush hits the virtual Japanese writing paper strongly, the letters become thicker. The lamps at the top of the screen are black if the brush in the virtual space is not touching the writing paper to make it easier to recognize visually the moment when the brush touches the writing paper and green, yellow and red as the reaction force presented to the user increases while the brush is touching the paper.
Figure 1:Configuration of the virtual calligraphy system.

The user moves the virtual brush in the display with the stylus of the haptic device, as shown in Figure 2. When the stylus is pressed down, the brush hits the virtual Japanese writing paper in the virtual space and the thickness of the characters changes according to the strength of the pressure. The reaction force from the paper is transmitted to the user through the haptic device. The Japanese characters in the model can be identified by their thickness (pink) and centerline (red) as shown in Figure 3.
Figure 2:Writing a character using the stylus of the haptic device.

Figure 3:Model character showing the centerline and thickness.

A score is calculated and presented to the user, indicating the degree of agreement between the written and model characters, based on the difference in thickness between the characters written by the user and the model, the difference in the centerline and the percentage of lines written outside the centerline. Let us denote the average difference in thickness between the user’s character and the model character (average along the line segment of the character) by D_w, the average difference in the centerline by D_c, the coverage ratio, i.e., the ratio of letters missing the centerline in the length direction by R_c, the over-ratio of the character written out of the centerline by R_o and the time required for writing the character by T. By using these five variables, the score (the degree of agreement between the written and model letters) S is calculated as follows:

where 0≤S≤100, with a score of 0 if the value is ≤0 and a score
of 100 if the value is ≥100. The values subtracted from each variable
are the worst possible values assumed, with the first and second
terms set to take values between 0 and 40, the third and fourth
terms between 0 and 10 and the fifth and sixth terms together
between -5 and 0. These values were obtained through preliminary
experiments. In addition, the following comments are output based
on the evaluation values of each item:
A. When the evaluation value/maximum value of every item is
≥0.80 (the score is also >80 in this case): “Keep up the good
work.”
B. If other than the above:
C. When the difference in thickness is the worst: “Be conscious of
the thickness of the character.”
D. Worst centerline difference: “Be aware of the centerline of the
character.”
E. Worst coverage: “Be aware of the starting and ending strokes.”
F. Worst oversize percentage: “Be aware of the starting and
ending strokes.”
G. Note that the worst in this case means the lowest evaluation
value/maximum value for each item.
The variables from the virtual calligraphy system are as follows:
1) Average Pressure Discrepancy Rate (PD), which indicates the
average difference in thickness between the user’s character and
the model character; 2) Average Centerline Deviation (CD), which
represents the average difference in centerline alignment between
the user’s character and the model character; 3) Coverage Ratio
(CR), which indicates the proportion of lines that accurately trace
the model line; 4) Over-rate (OR), which represents the proportion
of the character written outside the centerline; 5) Writing Time
(WR), which measures the time required to write the character and
6) Score, which is calculated based on variables 1 to 5.
Interventions
Before the measurement, the system was explained to the participants and then one of them was shown the Japanese character “Ei” (Figure 3), written once by the experimenter. The virtual Japanese writing paper was a few centimeters above the external display and when the stylus of the haptic device was moved, the calligraphy brush in the virtual space moved and when the tip of the brush hit the writing paper in the virtual space, the contact lamp turned green and a black line could be drawn. The experimenter also described that as the stylus was placed more strongly against the virtual paper, the thickness of the character line became thicker in accordance with the strength and the color of the contact lamp changed in three stages: from green to yellow to red. In the measurement, the experimenter instructed each participant to move the stylus tip along the red centerline of the model character and press the stylus against the virtual paper so that the thickness of the character to be written matched the thickness of the model character. We explained that if the participant finished writing the character and the score button was pushed with the mouse, the score would be displayed on a 100-point scale. The experimenter explained that the deviation from the centerline of the model character, the deviation in thickness, the deviation between the start and end points of each stroke and the working time were measured and that as these deviations become smaller, the score becomes higher and that the score was deducted if the working time was too long.
The participants were then given a couple of trials with their dominant arm to familiarize themselves with the task. When the participants sometimes wrote lines that were not in the model when moving the brush from the end point of each stroke to the beginning point of the next stroke, they were asked to lift the stylus a little higher and move it. During the measurement, the participants were asked to write three times each, with the dominant arm first. For only the third character written on the dominant arm, the participants were asked to state the expected value of the score and then the score was output and the validity of the output score was judged. They were then asked to write three times with the other arm. The average times per measurement were 59.9 seconds for the right hand and 55.3 seconds for the left hand.
Outcome measurements
The participants completed questionnaires regarding their age and gender and followed a randomly assigned order to visit three booths to perform the A) virtual calligraphy B) STEF and C) HGS measurements. The primary outcome measure was the STEF score. The secondary endpoints were STEF sub-scores and HGS. STEF, which was developed in Japan, is a test for evaluating a subject’s ability to pinch, grasp and transfer objects. The subject is required to pick up items one by one from a storage space and move them into a target space as quickly as possible. STEF is a widely used and well-validated test for assessing the functional motor skills of the upper extremity, including the fingers, which reflect ADL (36). The test consists of 10 types of subtests. Subjects are required to grasp, pinch, or turn over objects of different shapes and sizes and carry them to an arranged area, which allows the speed of manipulating objects using one upper limb to be evaluated. The subtests consist of the following 10 objects: 1) a large ball (70mm in diameter, five pieces) 2) a medium sphere (40mm in diameter, six pieces) 3) a large rectangle (100×100×47mm, five pieces), 4) a medium cube (35×35×35mm, six pieces), 5) a wooden disk (20mm in diameter, 10mm in thickness, six pieces), 6) a small cube (15×15×15mm, six pieces), 7) cloth (90×80mm, six sheets), 8) a metal disk (20mm in diameter, 2mm in thickness, six pieces), 9) a small ball (5mm in diameter, six pieces) and 10) a pin (3mm in diameter, 42mm in length, six pieces). The time required to complete each subtest is divided into 10 stages (score range from 1 to 10 points). Subtests 1-6 are capable of evaluating the hand’s capability to reach the intended location smoothly and the functionality of the shoulder and elbow. Subtest 7 additionally necessitates the capability to grasp a thin piece of cloth, enabling the assessment of inward and outward forearm rotation or internal and external shoulder rotation. Subtests 8-10 primarily assess the pinching function of the fingers. Whereas items up to subtest 6 can be grasped with a finger pinch utilizing the pads of the fingers, subtests 8-10 demand a more intricate finger-pinching technique employing the fingertips.
The total score ranges from 0 to 100, with higher scores indicating better upper extremity function and hand dexterity. The total score can be compared with the normal range for healthy people across 17 age groups, from age 3 to ≥80 years. HGS was assessed using a grip strength dynamometer (T.K.K. 5401 GRIP-D; Takei Scientific Instruments Co., Niigata, Japan), with measurements taken twice in an upright position, alternating between the left and right hands. Measurements were rounded to the nearest tenth of a kilogram and averaged with the better measurement from each hand.
Statistical analysis
Data regarding age and gender were analyzed using descriptive statistics, including means and standard deviations. The relationships between the variables obtained from the virtual calligraphy system and STEF scores and HGS were analyzed separately for right-and left-hand values using Pearson correlation coefficients. Statistical analysis was conducted using IBM SPSS Statistics (version 29.0.0.0 (241) for Mac; IBM, Chicago, IL, USA), with the significance level set at p<0.05.
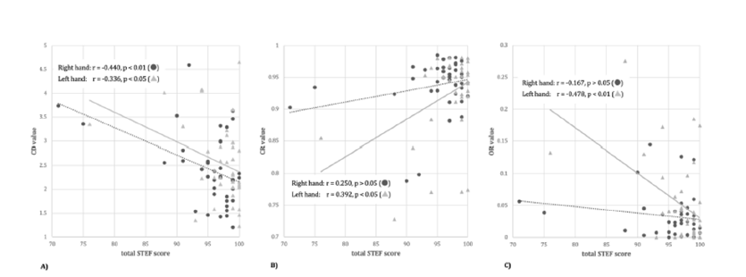
A total of 39 participants (20 males and 19 females; mean age: 64.2±12.4 years) were included in the study. The study analyzed the relationships between the variables obtained from the virtual calligraphy system and upper limb function as measured by STEF scores and HGS. Data were analyzed separately for the right- and left-hand values using Person correlation coefficients (Table 1). When analyzing the total STEF scores, CD showed a significant negative correlation with the total STEF score for the right hand (r=-0.440, p<0.01) and left hand (r=-0.336, p<0.05). CR showed a positive correlation with the total STEF score for the left hand (r=0.392, p<0.05). OR showed a significant negative correlation with the total STEF score for the left hand (r=-0.478, p<0.01). No significant correlations were found between CR and the total STEF score for the right hand (r=0.250, p>0.05) or between OR and the total STEF score for the right hand (r=-0.167, p>0.05) (Figure 4).
Figure 4:Correlation between virtual calligraphy variables and total STEF scores for both hands (N = 39).
a) CD (Centerline Deviation): Represents the average deviation from the centerline of the model character.
b) CR (Coverage Ratio): Indicates the proportion of lines that accurately trace the model line.
c) OR (Over-rate): Measures the proportion of characters written outside the centerline.
Symbols:
a) Circles: Represent values for the right hand.
b) Triangles: Represent values for the left hand.
Lines:
a) Dotted Regression Lines: Show the relationship between the variables and the STEF scores for the right hand.
b) Solid Regression Lines: Show the relationship between the variables and the STEF scores for the left hand.
Each regression line visually represents the degree and direction of the correlation between the virtual calligraphy
variables and the STEF scores.

Table 1:Correlations between virtual calligraphy system variables and scores on the Simple Test for Evaluating Hand Function (STEF) and hand grip strength (HGS) for both hands (N=39).

Pressure Discrepancy (PD): The average difference in thickness between the user’s character and the model character;
Centerline Deviation (CD): The average difference in centerline alignment between the user’s character and the model
character; Coverage Ratio (CR): The proportion of lines that accurately trace the model line; Over-Rate (OR): The
proportion of characters written outside the centerline; Writing Time (WT): the time required to write the character;
STEF: Simple Test for Evaluating Hand Function; HGS: hand grip strength.
Correlations were calculated using Pearson correlation coefficients. *p<0.05, **p<0.01.
For the variable of PD, no significant correlation was found with the sub-scores for the right hand. However, for the left hand, a significant negative correlation was observed with the thin cloth sub-score (r=-0.340, p<0.05). CD showed significant negative correlations with several STEF sub-scores for both hands. For the right hand, significant negative correlations were observed with the large sphere (r=-0.425, p<0.01), middle-sized sphere (r=-0.409, p<0.01), large rectangular box (r=-0.436, p<0.01), middle-sized cube (r=-0.390, p<0.05), think wooded disk (r=-0.340, p<0.05) and thin cloth (r=-0.318, p<0.05). For the left hand, significant negative correlations were found with the large sphere (r=-0.461, p<0.01), middle-sized sphere (r=-0.378, p<0.05), large rectangular box (r=- 0.522, p<0.01) and thin cloth (r=-0.416, p<0.01).
CR showed positive correlations with the STEF sub-scores. For the right hand, a significant positive correlation was found with the large sphere sub-score (r=0.347, p<0.05). For the left hand, significant positive correlations were observed with the large sphere (r=0.541, p<0.01), middle-sized sphere (r= 0.355, p<0.05), large rectangular box (r=0.574, p<0.01) and middle-sized cube (r=0.391, p<0.05). OR exhibited significant negative correlations with the STEF sub-scores. For the right hand, a significant negative correlation was found with the thin cloth disk sub-score (r=- 0.345, p<0.05). For the left hand, significant negative correlations were observed with the large sphere (r=-0.644, p<0.01), middlesized sphere (r=-0.443, p<0.01), large rectangular box (r=-0.620, p<0.01), middle cube (r=-0.504, p<0.01), small cube (r=-0.367, p<0.05) and thin cloth (r=-0.433, p<0.01). WT did not show any significant correlations with the STEF total score or sub-scores for either hand. Regarding the correlation with HGS, no significant correlations were found between HGS and any of the variables from the virtual calligraphy system for either the right or left hand.
The findings of this exploratory study highlight significant negative correlations between CD and the total STEF scores for both hands. CD represents the average difference in centerline alignment between the user’s character and the model character. This indicates that individuals struggling with centerline alignment during virtual calligraphy have lower upper limb function. Moreover, CD showed significant negative correlations with several STEF sub-scores for both hands, including tasks involving the large ball, medium sphere and large rectangle. These subtests evaluate the hand’s capability to smoothly reach the intended location, the functionality of the shoulder and elbow and the ability to grasp and transfer objects [36]. The cloth sub-test, which also showed a negative correlation with CD, requires pinching the thin piece of cloth and assessing forearm rotation and shoulder movements, further highlighting fine motor skills and precision [36]. However, the subtasks involving the metal disk, small ball and pin, which primarily assess intricate finger-pinching techniques using the fingertips [36], did not show significant correlations with the virtual calligraphy variables. Finer motor skills involving precise finger movements may not be as strongly linked.
Maintaining centerline alignment during virtual calligraphy is closely related to gross motor skills and overall upper limb functionality and could be indicative of frailty status in individuals. Tay et al. [37] reported that prefrail and frail individuals exhibited significantly poorer performance in upper limb dexterity compared to robust older adults [37]. The significant association between the SLICC Frailty Index (SLICC-FI) and the Disabilities of Arm, Shoulder and Hand (DASH) questionnaire indicates that the health deficits assessed by the SLICC-FI (including disease activity, organ damage, comorbidities and functional status) are also related to upper limb dysfunction [38]. Vieira et al. reported that increasing age was related to a decline in Tactile Discrimination (TD) of the hand and that TD should be used in assessment and intervention protocols for pre-frail and frail elders [39]. This suggests that the magnitude of deviation from the centerline during virtual calligraphy may be a screening tool for identifying frailty individuals.
The significant correlation between CR or OR and the total STEF score for the non-dominant hand provides evidence of the virtual calligraphy system’s sensitivity to variations in motor skills. The positive correlation between CR and total STEF score for the left hand, as well as several STEF sub-scores, suggests that a higher proportion of accurately traced lines correlates with better upper limb function. Similarly, OR, which measures the proportion of characters written outside the centerline, showed significant negative correlations with the total STEF scores for the left hand and several STEF sub-scores. This suggests that a higher proportion of characters written outside the centerline is associated with poorer manual dexterity. However, no such correlation was observed for the right hand, being the dominant hand. The differences were particularly evident in the significant correlations observed with specific sub-scores. For CR, significant correlations for the left hand only were found with the subtests of the medium sphere, large rectangle, and medium cube. For OR, significant correlations for the left hand only were observed with the subtests of the large ball, medium spheres, large rectangle and medium and small cube. This discrepancy may be attributed to the differences in proficiency and motor control between the dominant and non-dominant hands. The dominant hand typically exhibits better-developed motor skills and finer control due to more frequent use in daily activities. Therefore, the tasks involved in the virtual calligraphy system may not be challenging enough to distinguish variations in motor skill levels when using the dominant hand. In contrast, the nondominant hand generally has less refined motor skills and control. Consequently, the tasks in the virtual calligraphy system may pose a greater challenge to the left hand, making it more sensitive to variations in motor skills and more reflective of overall upper limb function.
Interestingly, WT did not show significant correlations with either hand’s STEF total score or sub-scores. This indicates that the time taken to complete a task may not be as crucial as the quality and precision of the movement. Schieber et al. [40] reviewed factors that constrain manual behavior and highlight the importance of precise motor control over speed in achieving dexterous hand movements. Other research has suggested that manual dexterity and motor performance are more closely related to sensorimotor integration and the ability to adapt motor output to sensory feedback, rather than mere speed [10]. Our finding aligns with the idea that efficient motor control, rather than speed, is more indicative of manual dexterity in older individuals.
Regarding HGS, no significant correlation was found between HGS and any of the variables from the virtual calligraphy system for either the right or left hand. This suggests that while grip strength is an important measure of overall hand function [41,42], it may not directly relate to the specific fine motor skills assessed by the virtual calligraphy system. This is consistent with previous research indicating that hand dexterity and grip strength, although related, represent different aspects of hand function. The potential of virtual calligraphy as an intervention tool to enhance manual dexterity is significant. Frailty is linked to reduced muscle strength and motor function, which impact ADL. Improving manual dexterity through activities such as calligraphy enhances brain function, particularly in the SMA, which is crucial for planning and executing movements. Enhanced dexterity aids in managing frailty and maintaining independence. Coull et al. [31] reported that the SMA is involved in planning and executing movements. Lammers et al. [30] found that the functional connectivity of the SMA is associated with frailty scores, with robust individuals showing higher connectivity than frail individuals. This suggests that interventions that improve manual dexterity can support brain health and mitigate some of the effects of frailty. Sobinov and Bensmaia [10] reported that manual dexterity and motor performance are closely related to sensorimotor integration and the ability to adapt motor output to sensory feedback, indicating that precise motor control is more indicative of manual dexterity than speed alone. The relationships between STEF scores, frailty and SMA activity underscore the importance of precise and controlled hand movements for maintaining hand function and managing frailty. Interventions that enhance manual dexterity, such as virtual calligraphy, may support brain health and cognitive function, thereby offering a valuable tool for assessing and improving motor skills in older individuals.
According to Gallucci et al. [43], research in the field of the development and use of technological tools for aging-related syndromes is mostly oriented toward observational studies devoted to diagnostic tools for assessing geriatric conditions such as frailty. The technologies for frailty suffer from limitations related to research quality and poor attention to studies of efficacy and effectiveness. Our findings contribute to this field by highlighting the potential of a virtual calligraphy system as an innovative tool for assessing and improving manual dexterity in older individuals. The significant correlations between the system’s variables and STEF scores suggest that it could be used effectively in measuring upper motor skills, thus addressing some of the limitations noted in the systematic review by Gallucci et al. [43]. The virtual calligraphy system offers a detailed assessment and targeted improvement of manual dexterity by providing precise feedback and measurable data on the user’s writing performance. This aligns with the need for higher-quality research and effective interventions in managing frailty.
However, this exploratory study has several limitations that need to be acknowledged. First, the sample size was relatively small, with only 39 participants included in the analysis. This limited sample size may affect the generalizability of the findings and larger studies are needed to confirm the results. Second, this study exclusively included right-handed individuals, which limits the applicability of the findings. Future research should include a more diverse participant pool to examine whether the results hold across different handedness. Third, this study utilized a virtual calligraphy system with a specific set of variables (PD, CD, CR, OR and WT) and examined their relationships with STEF scores and HGS. While these variables provide valuable insights into hand dexterity, other potential variables and metrics could further enhance the understanding of manual dexterity and frailty. Future studies should explore a wider range of variables and their interactions. Finally, the cross-sectional design of this study limits our ability to draw causal inferences. Longitudinal studies are needed to determine the long-term effects of using a virtual calligraphy system on manual dexterity and frailty management. Despite these limitations, this study provides important insights into the potential of a virtual calligraphy system as a tool for assessing and improving hand dexterity in older individuals. Future research addressing these limitations will be crucial for validating and expanding upon the present findings.
The present findings suggest the potential of a virtual calligraphy system using a haptic device as an innovative tool for assessing and improving manual dexterity in older individuals. The study demonstrates significant correlations between the system’s variables and STEF scores, suggesting its effectiveness in measuring upper motor skills. Despite limitations such as a small sample size and the inclusion of only right-handed participants, the findings provide valuable insights into the utility of virtual calligraphy for frailty management. Future research should include larger and more diverse samples and consider longitudinal designs to confirm and expand upon these results. The integration of virtual calligraphy in rehabilitation programs could support the maintenance of manual dexterity and independence in older adults, ultimately enhancing their quality of life.
We would like to express our sincere gratitude to all the individuals who participated in this study. Their willingness to participate and engage with the virtual calligraphy system was invaluable to our research and their time, effort and contributions helped advance our understanding of manual dexterity and frailty.
© 2024 Eiko Takano. This is an open access article distributed under the terms of the Creative Commons Attribution License , which permits unrestricted use, distribution, and build upon your work non-commercially.
a Creative Commons Attribution 4.0 International License. Based on a work at www.crimsonpublishers.com.
Best viewed in